Упр.254 ГДЗ Муравин 7 класс (Алгебра)
Решение #1

Рассмотрим вариант решения задания из учебника Муравин, Муравина 7 класс, Дрофа:
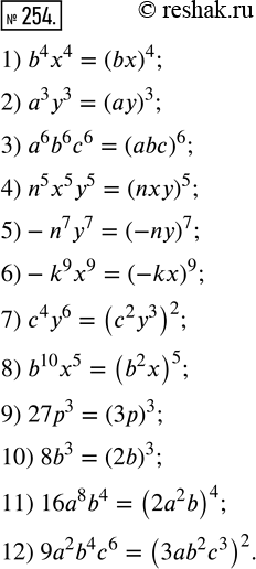
254. Представьте выражение в виде степени произведения:
1) b^4 х^4; 5) -n^7 y^7; 9) 27р^3;
2) а^3 у^3; 6) -k^9 x^9; 10) 8b^3;
3) а^6 b^6 с^6; 7) с^4 у^6; 11) 1ба^8 b^4;
4) n^5 х^5 у^5; 8) b^10 x^5; 12) 9а^2 b^4 с^6.
*размещая тексты в комментариях ниже, вы автоматически соглашаетесь с пользовательским соглашением