Упр.246 ГДЗ Никольский Потапов 7 класс (Алгебра)
Решение #1

Рассмотрим вариант решения задания из учебника Никольский, Потапов 7 класс, Просвещение:
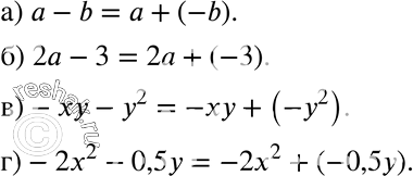
246. Запишите многочлен в виде суммы одночленов:
а) а - b;
б) 2а - 3;
в) -ху - у2;
г) -2х2 - 0,5у.
*размещая тексты в комментариях ниже, вы автоматически соглашаетесь с пользовательским соглашением