Упр.237 ГДЗ Никольский Потапов 7 класс (Алгебра)
Решение #1
Решение #2

Рассмотрим вариант решения задания из учебника Никольский, Потапов 7 класс, Просвещение:
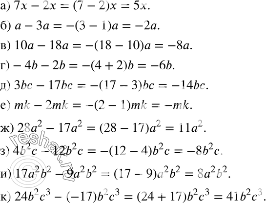
237 Найдите одночлен, равный разности подобных одночленов:
а) 7x-2x;
б) a-3a;
в) 10a-18a;
г) -4b-2b;
д) 3bc-17bc;
е) mk-2mk;
ж) 28a2-17a2;
з) 4b2c-12b2c;
и) 17a2b2-9a2b2;
к) 24b2c3-(-17)b2c3.
*размещая тексты в комментариях ниже, вы автоматически соглашаетесь с пользовательским соглашением