Упр.223 ГДЗ Никольский Потапов 7 класс (Алгебра)
Решение #1
Решение #2

Рассмотрим вариант решения задания из учебника Никольский, Потапов 7 класс, Просвещение:
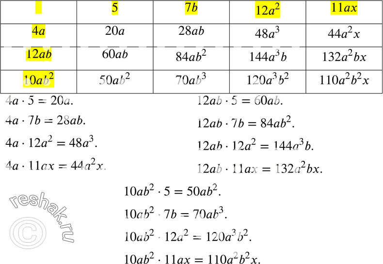
223 4a
12ab
10ab2
5
7b
12a2
11ax
*размещая тексты в комментариях ниже, вы автоматически соглашаетесь с пользовательским соглашением