Упр.220 ГДЗ Макарычев Миндюк 9 класс (Углубленный) (Алгебра)
Решение #1

Рассмотрим вариант решения задания из учебника Макарычев, Миндюк, Нешков 9 класс, Просвещение:
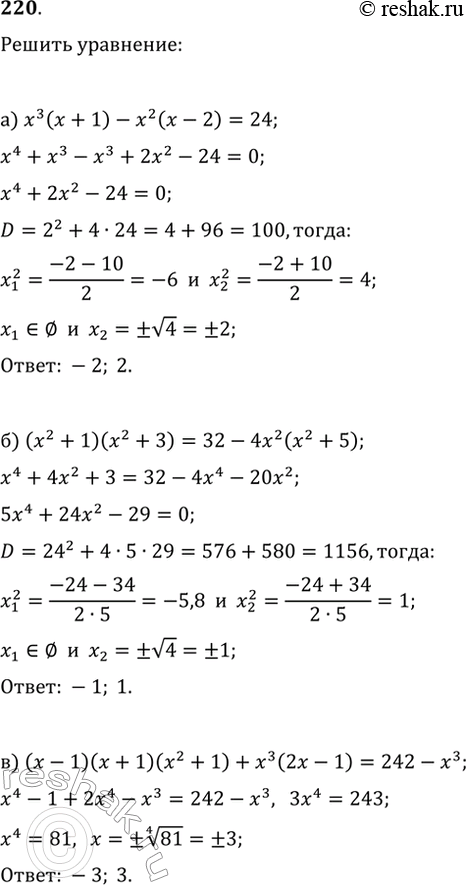
220. Решите уравнение:
а) x^3(x+1)-x^2(x-2)=24;
б) (x^2+1)(x^2+3)=32-4x^2(x^2+5);
в) (x-1)(x+1)(x^2+1)+x^3(2x-1)=242-x^3.
*размещая тексты в комментариях ниже, вы автоматически соглашаетесь с пользовательским соглашением