Упр.207 ГДЗ Муравин 7 класс (Алгебра)
Решение #1

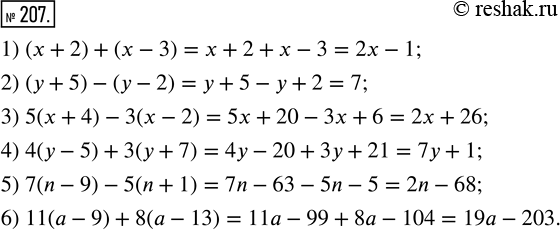
Рассмотрим вариант решения задания из учебника Муравин, Муравина 7 класс, Дрофа:
207. Замените данное выражение тождественно равным, не содержащим скобки:
1) (x + 2) + (х - 3); 4) 4(у - 5) + 3(y + 7);
2) (у + 5) - (y - 2); 5) 7(n - 9) - 5(n + 1);
3) 5(x + 4) - 3(x - 2); 6) 11(а - 9) + 8(а - 13).
*размещая тексты в комментариях ниже, вы автоматически соглашаетесь с пользовательским соглашением