Упр.206 ГДЗ Никольский Потапов 7 класс (Алгебра)
Решение #1
Решение #2

Рассмотрим вариант решения задания из учебника Никольский, Потапов 7 класс, Просвещение:
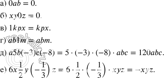
206. Упростите запись одночлена:
а) 0ab;
б) xy0z;
в) 1kpx;
г) ab1m;
д) a5b(-3)c(-8);
е) 6x*1/2*y(-1/3)z.
*размещая тексты в комментариях ниже, вы автоматически соглашаетесь с пользовательским соглашением