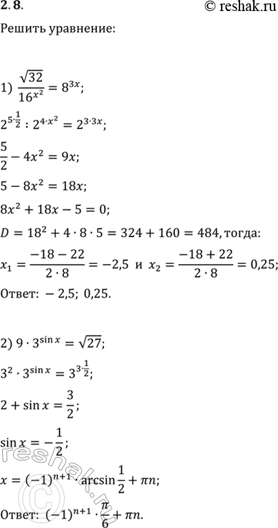
Упр.2.8 ГДЗ Мерзляк 11 класс Углубленный уровень (Алгебра)
Решение #1

Рассмотрим вариант решения задания из учебника Мерзляк, Номировский, Поляков 11 класс, Вентана-Граф, Просвещение:
2.8. Решите уравнение:
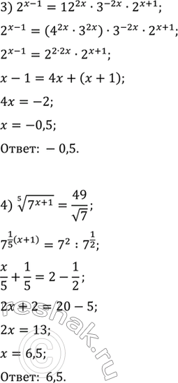
1) v32/16^(x^2)=8^(3x); 3) 2^(x-1)=12^(2x)·3^(-2x)·2^(x+1);
2) 9·3^(sin(x))=v27; 4) (7^(x+1))^(1/5)=49/v7.
*размещая тексты в комментариях ниже, вы автоматически соглашаетесь с пользовательским соглашением