Упр.124 ГДЗ Муравин 7 класс (Алгебра)
Решение #1

Рассмотрим вариант решения задания из учебника Муравин, Муравина 7 класс, Дрофа:
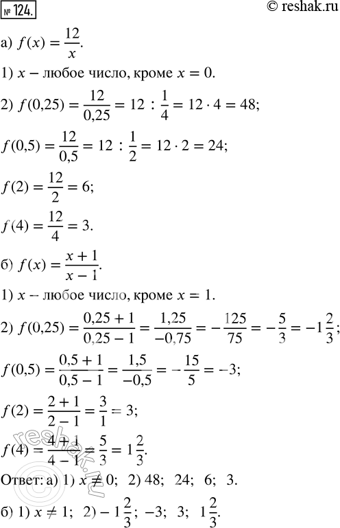
124. Дана функция у = f(x): a) f(x) = 12/x; б) f(x) = (x+1)/(x-1).
1) Укажите множество допустимых значений аргумента этой функции.
2) Найдите: f(0,25), f(0,5), f(2), f(4).
*размещая тексты в комментариях ниже, вы автоматически соглашаетесь с пользовательским соглашением